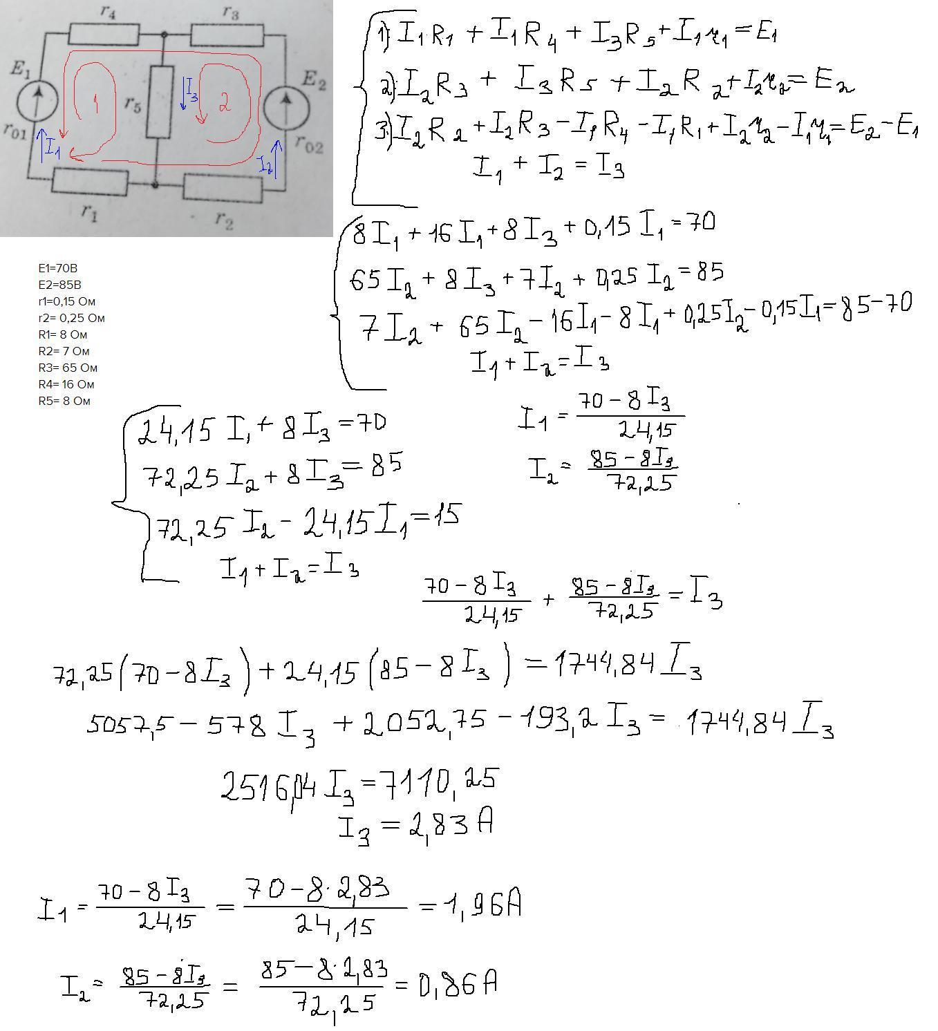
Для разветвленной электрической цепи, пользуясь законами Кирхгофа, определить токи во всех ветвях.
E1=70В
E2=85В
r1=0,15 Ом
r2= 0,25 Ом
R1= 8 Ом
R2= 7 Ом
R3= 65 Ом
R4= 16 Ом
R5= 8 Ом
Приложения:

Ответы
Ответ дал:
1
Ответ:
решение на картинке
Объяснение:
Приложения:

Вас заинтересует
2 года назад
2 года назад
3 года назад
3 года назад
8 лет назад
9 лет назад