• Предмет: Алгебра
  • Автор: рипититор
  • Вопрос задан 10 лет назад

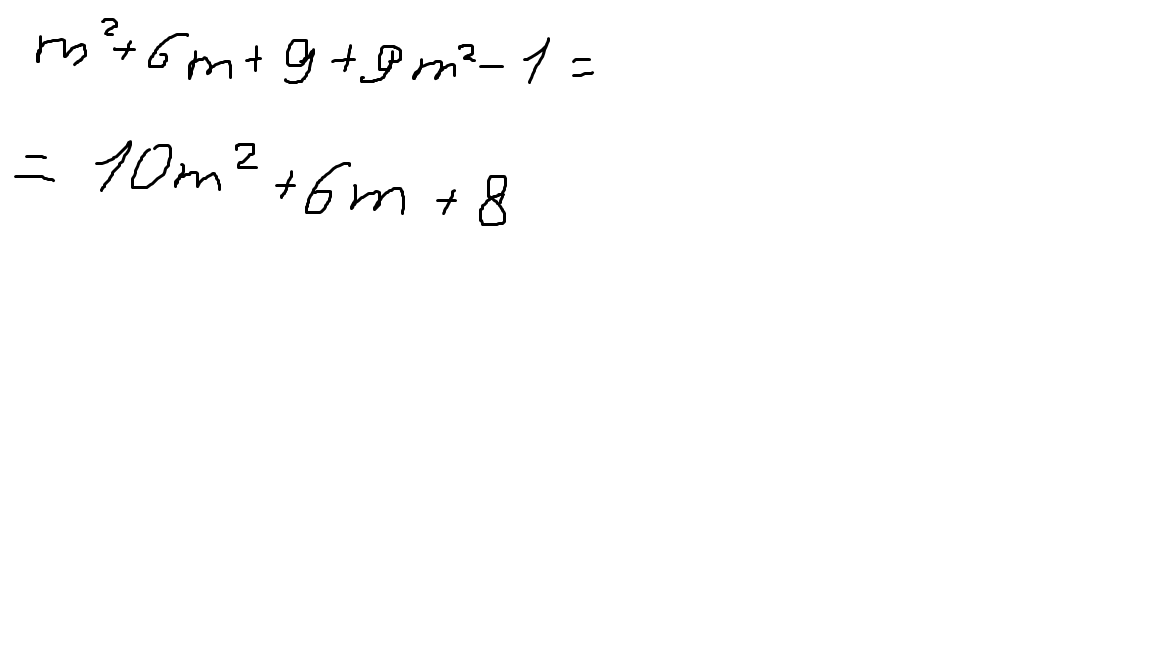
упростите выражение используя формулы сокращенного умножения: (m+3)^2 + (3m-1)*(3m+1)

Ответы

Ответ дал: Ekaterina1819
0
Получится вот так :)
Приложения:
Ответ дал: Ekaterina1819
0
нельзя
Вас заинтересует