• Предмет: Алгебра
  • Автор: nargiz130209
  • Вопрос задан 8 лет назад

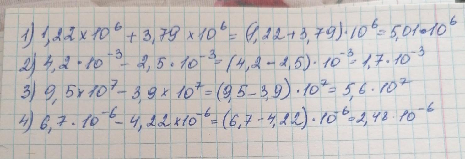
1.156
1) 1,22×10⁶+3,79×10⁶
2)4,2×10минус³-2,5×10минус³
3)9,5×10⁷—3,9×10⁷
4)6,7×10минус⁶—4,22×10минус⁶​

Ответы

Ответ дал: Soaring
19

Объяснение:

посмотри и попробуй разобраться . удачи.

Приложения:

klimovpetr2008: Спосибо!
Вас заинтересует