Ответы
Ответ:
1)
1. Возводим все уравнение в квадрат. ( )²
3х-1=х-2
3х-х=-2+1
2х=-1
х=-1:2
х= - 0,5
Данный ответ не соответствует условию задачи.
Ответ: Нет решений.
2)
Также возводим все уравнение в квадрат, получим:
x²-5x-14=3x-2
x²-8x-12=0
По т. Виета
x1+x2=8
x1*x2=-12
(не соответствует условию задачи)
Ответ: 
3)
Возводим в квадрат
4-2х=x²-4x+4
x²-2x=0
x(x-2)=0
x1=0 (не соответствует условию задачи)
x-2=0
x2=2
Ответ: х=2
Ответ:
Объяснение:
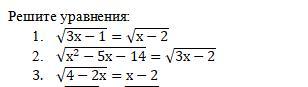
1. √(3x-1)=√(x-2)
(√(3x-1))²=(√(x-2))²
3x-1=x-2
3x-x=-2+1
2x=-1
x=-1/2
Проверка:
√(3·(-1/2)-1) ∨ √(-1/2 -2)
√(-1 1/2 -1) ∨ √(-2 1/2); -2 1/2<0
Ответ: нет решений.
2. √(x²-5x-14)=√(3x-2)
(√(x²-5x-14))²=(√(3x-2))²
x²-5x-14=3x-2
x²-5x-14-3x+2=0
x²-8x-12=0; D=64+48=112
x₁=(8-4√7)/2=4-2√7
Для проверки возьмём правую часть уравнения:
√(3(4-2√7)-2)=√(12-6√7 -2)=√(10-6√7)≈√(10-6·2,6)≈√(10-15,6)≈√(-5,6); -5,6<0
Корень x₁ не подходит.
x₂=(8+4√7)/2=4+2√7
Для проверки возьмём правую часть уравнения:
√3(4+2√7)-2)=√(12+6√7 -2)=√(10+6√7); 10+6√7>0
Ответ: 4+2√7.
3. √(4-2x)=x-2
(√(4-2x))²=(x-2)²
4-2x=x²-4x+4
x²-4x+4-4+2x=0
x²-2x=0
x(x-2)=0
x₁=0
Проверка:
√(4-2·0) ∨ (0-2)
√4≠-2 - арифметический квадратный корень не может быть отрицательным числом ⇒ корень x₁ не подходит.
x-2=0; x₂=2
Проверка:
√(4-2·2) ∨ 2-2
√(4-4) ∨ 0
0=0
Ответ: 2.
