• Предмет: Математика
  • Автор: irinatener
  • Вопрос задан 8 лет назад

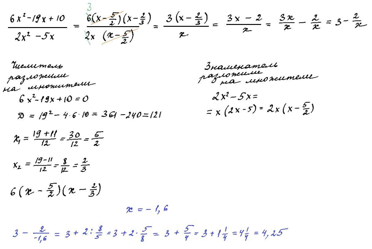
Найди значение выражения

Приложения:

Ответы

Ответ дал: UluanaV
0

Ответ:

4,25

Пошаговое объяснение:

Решение на фото.

Приложения:
Вас заинтересует