• Предмет: Математика
  • Автор: alenafedorova784
  • Вопрос задан 8 лет назад

Решите пожалуйста номер 257

Приложения:

Ответы

Ответ дал: umarovali880
2

Ответ:

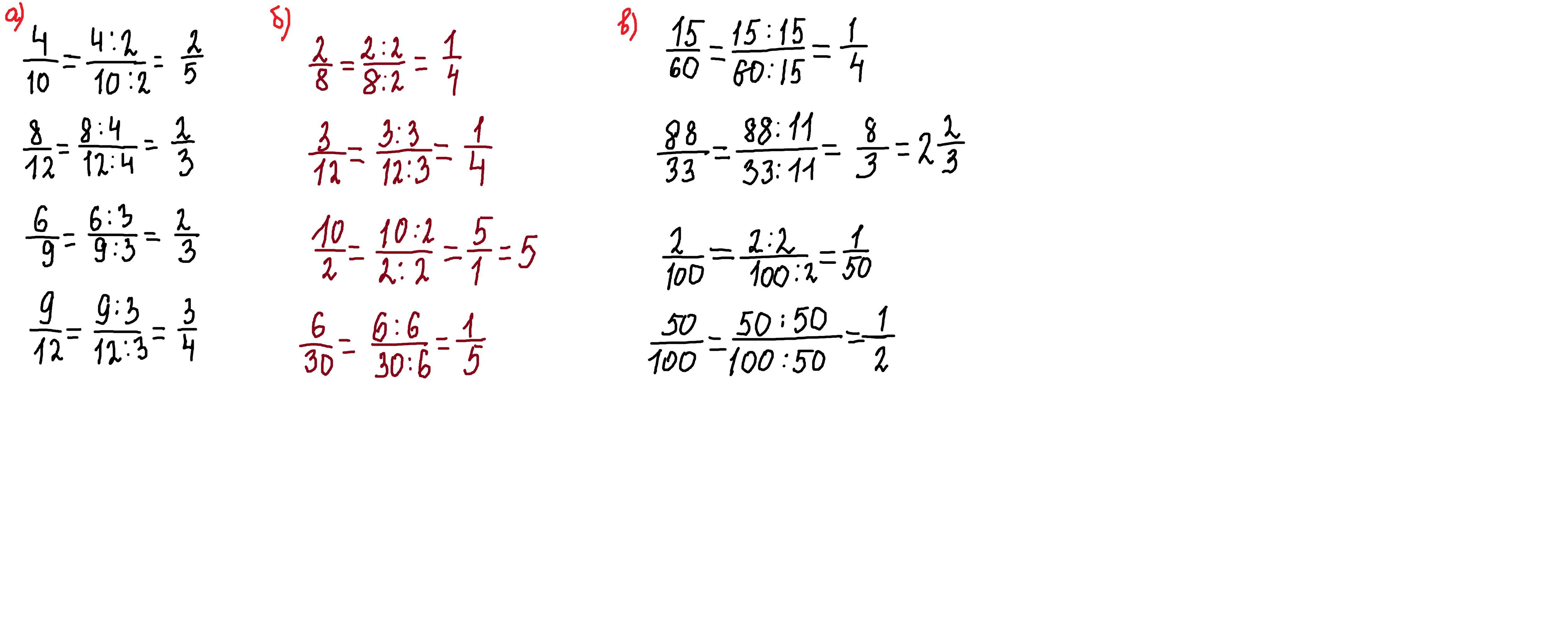
а)

4/10=2/5

8/12=2/3

6/9=2/3

9/12=3/4

б

2/8=1/4

3/12=1/4

10/2=5

6/30=1/5

в)

15/60=1/4

88/33=8/3=2⅔

2/100=1/50

50/100=1/2

Ответ дал: parus77
1

Ответ:

Пошаговое объяснение:

сократить дробь -значит разделить чмслитель и знаменатель дроби на одно и тоже число(не равное 0)

Приложения:
Вас заинтересует