Выполняя задания, необходимо записать не только ответ, но и подробное решение.
Задание 1
Раскройте скобки и упростите выражение:
(первый файл)
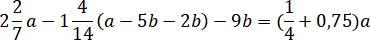
Задание 2
Докажите тождество:
(второй файл)
Задание 3.
(третий файл)
а) Максимально упростите выражение
б) Найдите значение упрощённого выражения a = -(3/4); b = 0,25 (10 баллов).
Приложения:



Ответы
Ответ дал:
3
задание 1
-4/18(2 7/10a-1,5b)- 5/6(0,48a- 2b)
-2/9(27/10a-3/2b)- 5/6(12/25a- 2b)
-3/5a+1/3b-2/5a-5/3b
-a-2b
завтра добавлю остальное
Аноним:
а долго ещё остальное ждать?
Вас заинтересует
2 года назад
3 года назад
3 года назад
8 лет назад
8 лет назад
9 лет назад