• Предмет: Алгебра
  • Автор: ymk5yvczz7
  • Вопрос задан 8 лет назад

решите логарифмическое неравенство, пожалуйста

Приложения:

Ответы

Ответ дал: sangers1959
3

Объяснение:

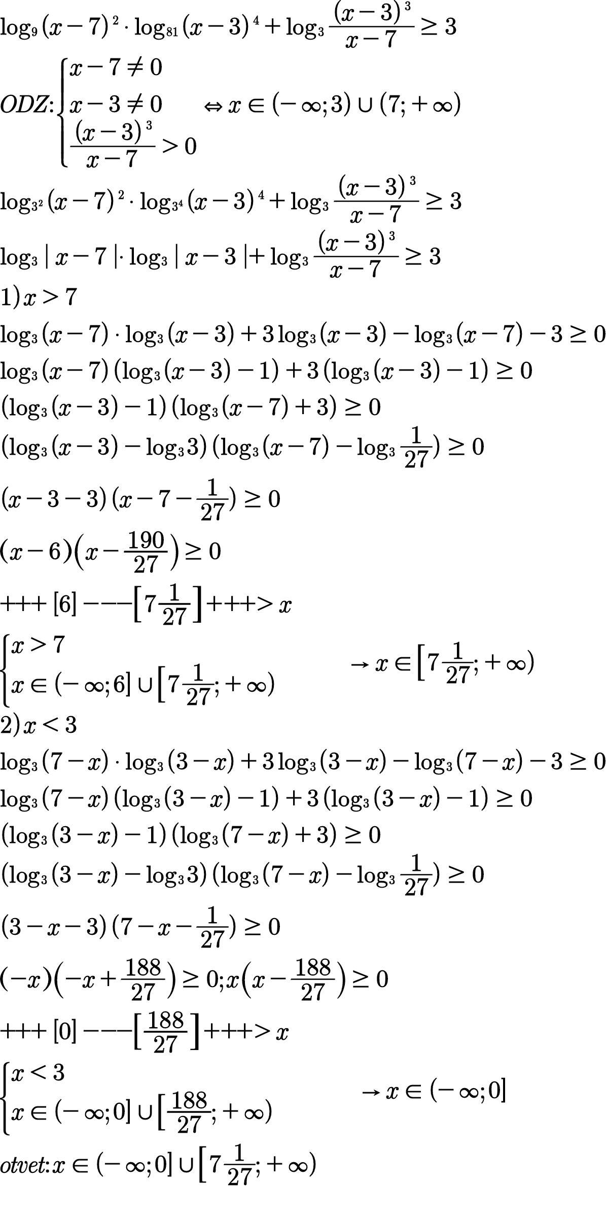
log_9(x-7)^2*log_{81}(x-3)^4+log_3\frac{(x-3)^3}{x-7}\geq 3.

ОДЗ:

\frac{(x-3)^3}{x-7}>0\ \ \ \  \frac{x-3}{x-7}>0.

-∞__+__3__-__7__+__+∞

x∈(-∞;3)U(7;+∞).

log_9(x-7)^2*log_{81}(x-3)^4+log_3\frac{(x-3)^3}{x-7}\geq 3.

2*log_{3^2}|x-7|*4*log_{3^4}|x-3|+log_3|x-3|^3-log_3|x-7|-3\geq 0\\\frac{2}{2}*log_3|x-7|*\frac{4}{4} *log_3|x-3|+3*log_3|x-3|-log_3|x-7|-3\geq 0\\log_3|x-7|*log_3|x-3|+3*log_3|x-3|-log_3|x-7|-3\geq 0\\ log_3|x-7|*log_3|x-3|-log_3|x-7|+3*log_3|x-3|-3\geq 0\\log_3|x-7|*(log_3|x-3|-1)+3*(log_3|x-3|-1)\geq 0\\(log_3|x-3| -1)*(log_3|x-7|+3)\geq 0.

1. x∈(7;+∞).

\left \{ {{log_3(x-3)-1\geq 0} \atop {log_3(x-7)+3\geq 0}} \right. \ \ \ \ \left \{ {log_3(x-3)\geq 1} \atop {log_3(x-7)\geq -3}} \right. \ \ \ \ \left \{ {{x-3\geq 3^1} \atop {x-7\geq 3^{-3}}} \right. \ \ \ \ \left \{ {{x\geq 6} \atop {x-7\geq \frac{1}{27} }} \right. \ \ \ \ \left \{ {{x\geq 6} \atop {x\geq 7\frac{1}{27} }} \right. \ \ \ \ \Rightarrow\\x\in[7\frac{1}{27}; +\infty).

\left \{ {{log_3(x-3)-1\leq 0} \atop {log_3(x-7)+3\leq 0}} \right. \ \ \ \ \left \{ {log_3(x-3)\leq 1} \atop {log_3(x-7)\leq -3}} \right. \ \ \ \ \left \{ {{x-3\leq 3^1} \atop {x-7\leq 3^{-3}}} \right. \ \ \ \ \left \{ {{x\leq 6} \atop {x-7\leq \frac{1}{27} }} \right. \ \ \ \ \left \{ {{x\leq 6} \atop {x\leq 7\frac{1}{27} }} \right. \ \ \ \ \Rightarrow\\x\in(-\infty;6].\ \ \ \ \Rightarrow

x\in(7\frac{1}{27};+\infty).

2. x∈(-∞;3).

\left \{ {{log_3(3-x)-1\geq   0} \atop {log_3(7-x)+3\geq   0}} \right. \ \ \ \ \left \{ {log_3(3-x)\geq 1} \atop {log_3(7-x)\geq   -3}} \right. \ \ \ \ \left \{ {{3-x\geq 3^1} \atop {7-x\geq 3^{-3}}} \right. \ \ \ \ \left \{ {{3-x\geq  3} \atop {7-x\geq \frac{1}{27} }} \right. \ \ \ \ \left \{ {{x\leq  0} \atop {x\leq 6\frac{26}{27}  }} \right. \ \ \ \ \Rightarrow\\x\in{( -\infty;0].

\left \{ {{log_3(3-x)-1\leq 0} \atop {log_3(7-x)+3\leq 0}} \right. \ \ \ \ \left \{ {log_3(3-x)\leq 1} \atop {log_3(7-x)\leq -3}} \right. \ \ \ \ \left \{ {{3-x\leq 3^1} \atop {7-x\leq 3^{-3}}} \right. \ \ \ \ \left \{ {{3-x\leq 3} \atop {7-x\leq \frac{1}{27} }} \right. \ \ \ \ \left \{ {{x\geq 0} \atop {x\geq  6\frac{26}{27}  }} \right. \ \ \ \ \Rightarrow\\x\in[6\frac{26}{27};+\infty ].\ \ \ \ \Rightarrow\\x\in(-\infty;0].

Ответ: x∈(-∞;0]U[7¹/₂₇;+∞).

Ответ дал: tamarabernukho
4

Ответ:

Объяснение:

............................................

Приложения:
Вас заинтересует