• Предмет: Алгебра
  • Автор: gfuiuhgj
  • Вопрос задан 8 лет назад

помогите умоляю
помогите​

Приложения:

Itakeyourquenn: Я тебе помог. Смотри точно такое же задание, но за него ты дал(а) 50 баллов.

Ответы

Ответ дал: NNNLLL54
1

Ответ:

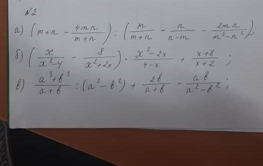
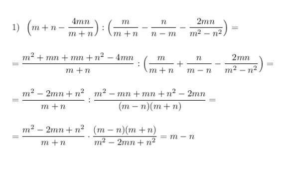
1)\ \ \displaystyle \Big(m+n-\frac{4mn}{m+n}\Big):\Big(\frac{m}{m+n}-\frac{n}{n-m}-\frac{2mn}{m^2-n^2}\Big)=\\\\\\=\frac{m^2+mn+mn+n^2-4mn}{m+n}:\Big(\frac{m}{m+n}+\frac{n}{m-n}-\frac{2mn}{m^2-n^2}\Big)=\\\\\\=\frac{m^2-2mn+n^2}{m+n}:\frac{m^2-mn+mn+n^2-2mn}{(m-n)(m+n)}=\\\\\\=\frac{m^2-2mn+n^2}{m+n}\cdot \frac{(m-n)(m+n)}{m^2-2mn+n^2}=m-n

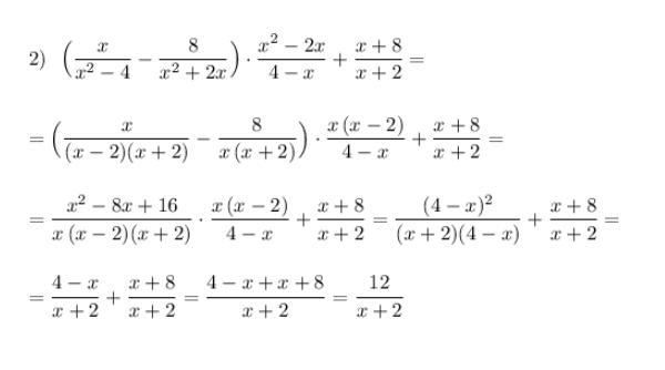
2)\ \ \displaystyle \Big(\frac{x}{x^2-4}-\frac{8}{x^2+2x}\Big)\cdot \frac{x^2-2x}{4-x}+\frac{x+8}{x+2}=\\\\\\=\Big(\frac{x}{(x-2)(x+2)}-\frac{8}{x\, (x+2)}\Big)\cdot \frac{x\, (x-2)}{4-x}+\frac{x+8}{x+2}=\\\\\\=\frac{x^2-8x+16}{x\, (x-2)(x+2)}\cdot \frac{x\, (x-2)}{4-x}+\frac{x+8}{x+2}=\frac{(4-x)^2}{(x+2)(4-x)}+\frac{x+8}{x+2}=\\\\\\=\frac{4-x}{x+2}+\frac{x+8}{x+2}=\frac{4-x+x+8}{x+2}=\frac{12}{x+2}

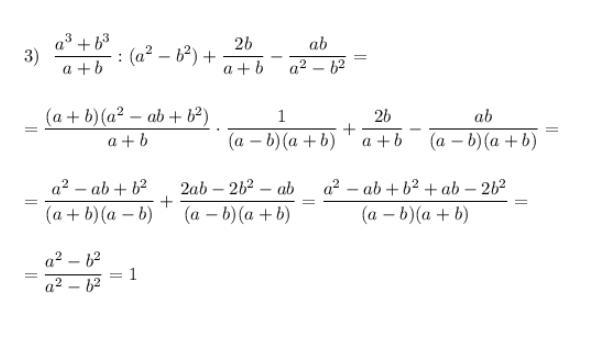
\displaystyle 3)\ \ \frac{a^3+b^3}{a+b}:(a^2-b^2)+\frac{2b}{a+b}-\frac{ab}{a^2-b^2}=\\\\\\=\frac{(a+b)(a^2-ab+b^2)}{a+b}\cdot \frac{1}{(a-b)(a+b)}+\frac{2b}{a+b}-\frac{ab}{(a-b)(a+b)}=\\\\\\=\frac{a^2-ab+b^2}{(a+b)(a-b)}+\frac{2ab-2b^2-ab}{(a-b)(a+b)}=\frac{a^2-ab+b^2+ab-2b^2}{(a-b)(a+b)}=\\\\\\=\frac{a^2-b^2}{a^2-b^2}=1

Приложения:

gfuiuhgj: вы случайнт не в фотомаз решаете?
NNNLLL54: нет, я сама решаю, только пишу с помощью редактора формул LaTex
gfuiuhgj: тогда большое вам спасибо!!
Вас заинтересует