• Предмет: Алгебра
  • Автор: xcoretomb
  • Вопрос задан 8 лет назад

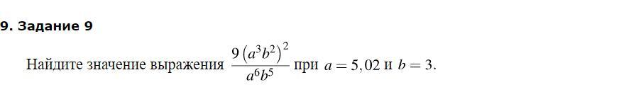
найдите значение выражения

Приложения:

Ответы

Ответ дал: SmartCin4376
1

Ответ:

3

Объяснение:

При возведении выражения со степенью в степень, наши степени перемножаются: (a^3)^2 = a^(3*2) = a^6

\frac{9*a^6*b^4}{a^6*b^5} = \frac{9}{b} = \frac{9}{3} =3

Вас заинтересует