• Предмет: Алгебра
  • Автор: NakanoNiino
  • Вопрос задан 8 лет назад

Квадратный корень. 4 ​

Приложения:

Ответы

Ответ дал: SirWallon
1

Объяснение:

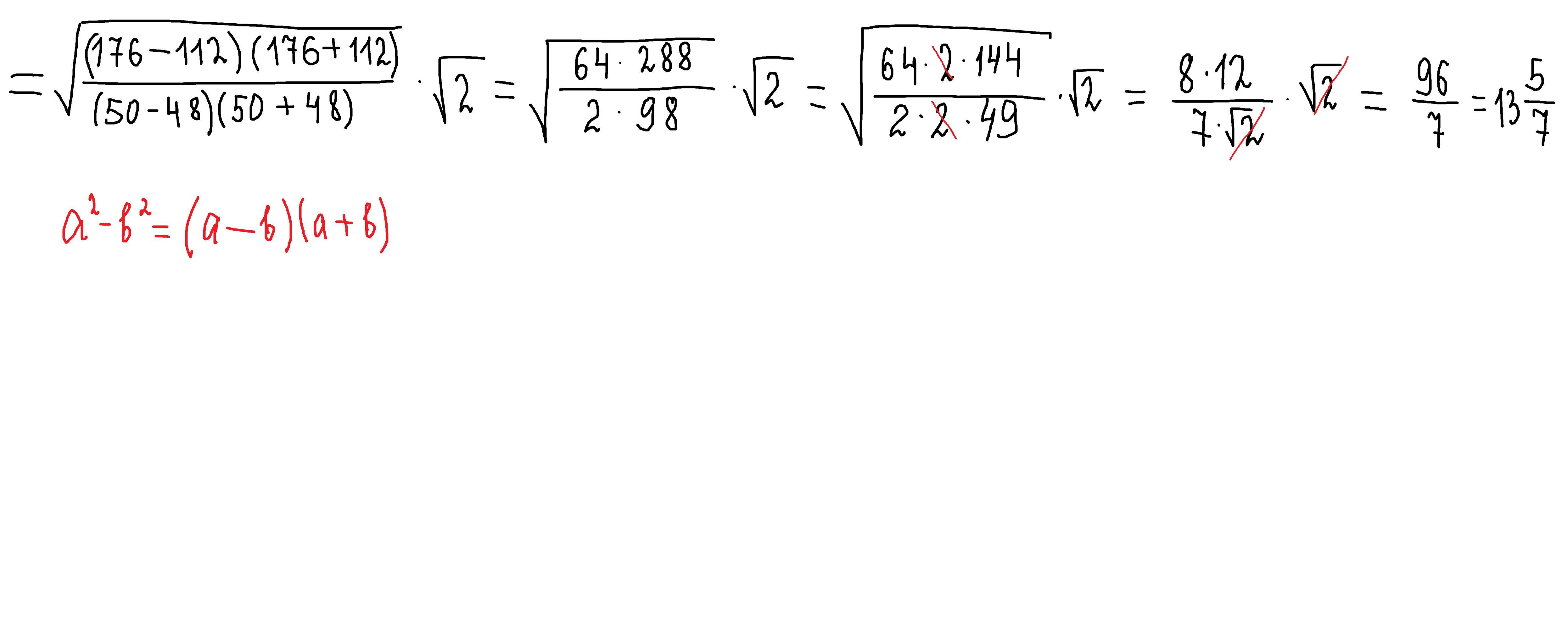
  \sqrt{\frac{ { {176}^{2} -  {112}^{2}  } }{  { {50}^{2} }  - {48}^{2}   } } \times  \sqrt{2}  =  \sqrt{ \frac{(176 - 112)(176 + 112)}{(50 + 48)(50 - 48)} }  \times  \sqrt{2}  =  \sqrt{ \frac{64 \times 288}{98 \times 2} }  \times  \sqrt{2}  =  \sqrt{ \frac{64 \times 144}{49 \times 2} }  \times  \sqrt{2}  =  \frac{8 \times 12}{7 \times  \sqrt{2} }  \times  \sqrt{2}  =  \frac{8 \times 12 \times  \sqrt{2} }{7 \times  \sqrt{2} }  =  \frac{96}{7}  = 13 \frac{5}{7}


NakanoNiino: Все верно, спасибо:)
NakanoNiino: Сейчас выложу
Ответ дал: parus77
1

Ответ:

Объяснение:

решение внизу

Приложения:
Вас заинтересует