Ответы
Ответ дал:
1
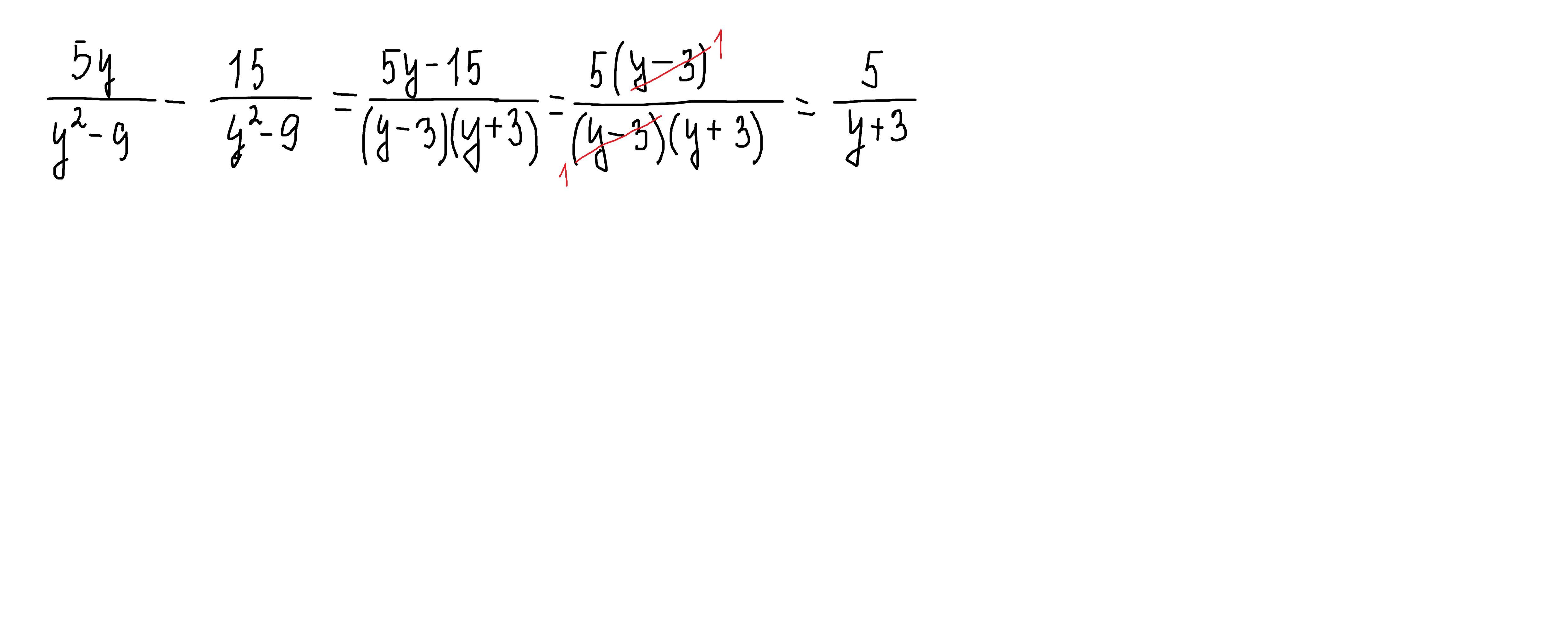
Мы можем записать как одну дробь разность или сумму дробей с общим знаменателем.
Ответ дал:
0
Ответ:
Объяснение:
решение внизу
Приложения:

Вас заинтересует
2 года назад
3 года назад
8 лет назад
8 лет назад