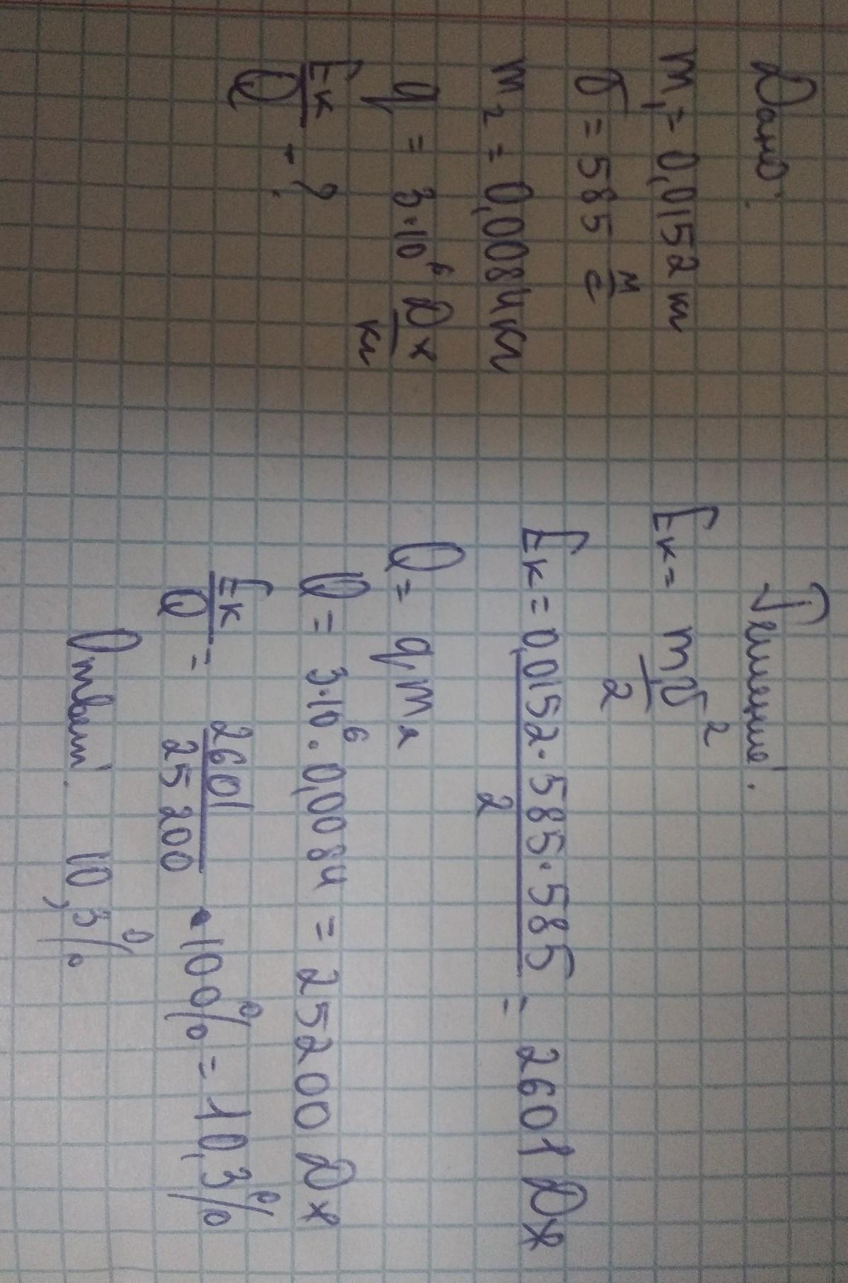
При выстреле из ружья дробь массой 15,2 г вылетает со скоростью 585 м/с. Какую часть энергии составляет кинетическая энергия дроби по отношению к энергии, выделяющейся при сгорании порохового заряда массой 8,4 г? Ответ запиши в процентах!
Удельная теплота сгорания пороха — 3 МДж/кг
Ответ (округли до десятых):
%.
Ответы
Ответ дал:
3
Ответ:
Решение на фото.,.,.,.,.,
Приложения:

Вас заинтересует
2 года назад
3 года назад
3 года назад
8 лет назад
9 лет назад