• Предмет: Алгебра
  • Автор: 1516805
  • Вопрос задан 8 лет назад

Помогите решить задачу пожалуйста

Приложения:

Ответы

Ответ дал: 4585o7k5099
1

Ответ:

Объяснение:

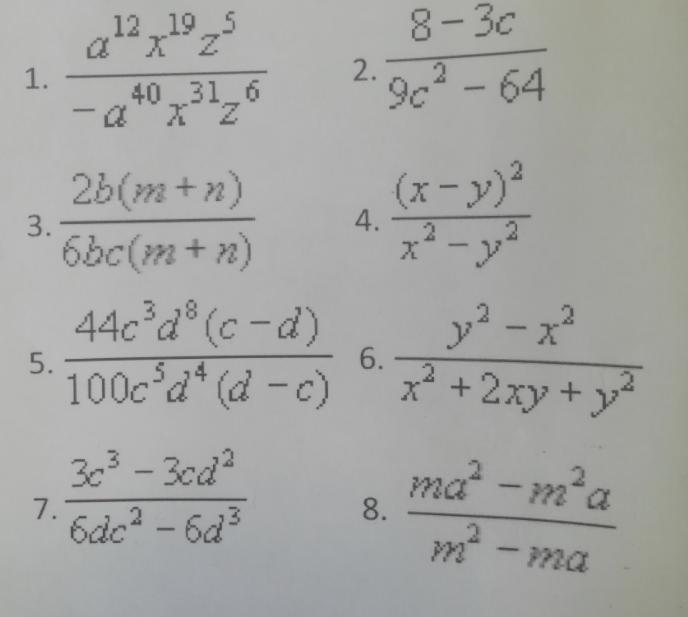
\frac{a^{12}x^{19}z^5}{-a^{40}x^{31}z^6}=-a^{-28}x^{-12}z^{-1} или -\frac{1}{a^{28}x^{12}z}

\frac{8-3c}{9c^2-64}=\frac{8-3c}{(3c)^2-8^2}=\frac{8-3c}{(3c-8)(3c+8)}=\frac{-(3c-8)}{(3c-8)(3c+8)}=-\frac{1}{3c+8}

\frac{2b(m+n)}{6bc(m+n)}=\frac{1}{3c} тут всё кроме (с) сокращается

\frac{(x-y)^2}{x^2-y^2}= \frac{(x-y)^2}{(x-y)(x+y)}=\frac{x-y}{x+y}

\frac{44c^3d^8(c-d)}{100c^5d^4(d-c)}=-\frac{44c^3d^8(d-c)}{100c^5d^4(d-c)} =0.44c^{-2}d^4 или \frac{11d^4}{25c^2}

\frac{y^2-x^2}{x^2+2xy+y^2}=\frac{(y-x)(y+x)}{(x+y)^2}=\frac{y-x}{x+y}

\frac{3c^3-3cd^2}{6dc^2-6d^3}=\frac{3c(c^2-d^2)}{6d(c^2-d^2)}=\frac{c}{2d}

\frac{ma^2-m^2a}{m^2-ma}=\frac{ma(a-m)}{m(m-a)}=-\frac{ma(m-a)}{m(m-a)}=-a

Вас заинтересует