• Предмет: Алгебра
  • Автор: Аноним
  • Вопрос задан 8 лет назад

помогите СРОЧНО пжпжпж
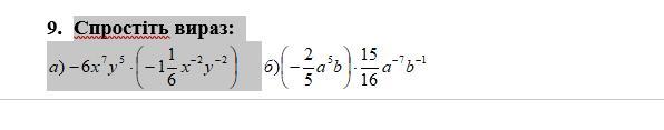
спростiть вираз:

Приложения:

Ответы

Ответ дал: NNNLLL54
1

Ответ:

1)\ \ -6x^7y^5\cdot \Big(-1\dfrac{1}{6}\, x^{-2}y^{-2}\Big)=7x^5y^3\\\\\\2)\ \ \Big(-\dfrac{2}{5}\, a^5b\Big)\cdot \dfrac{15}{16}\, a^{-7}b^{-1}=-\dfrac{3}{8}\, a^{-2}b^0=-\dfrac{3}{8}\, a^{-2}

Вас заинтересует