• Предмет: Математика
  • Автор: Аноним
  • Вопрос задан 8 лет назад

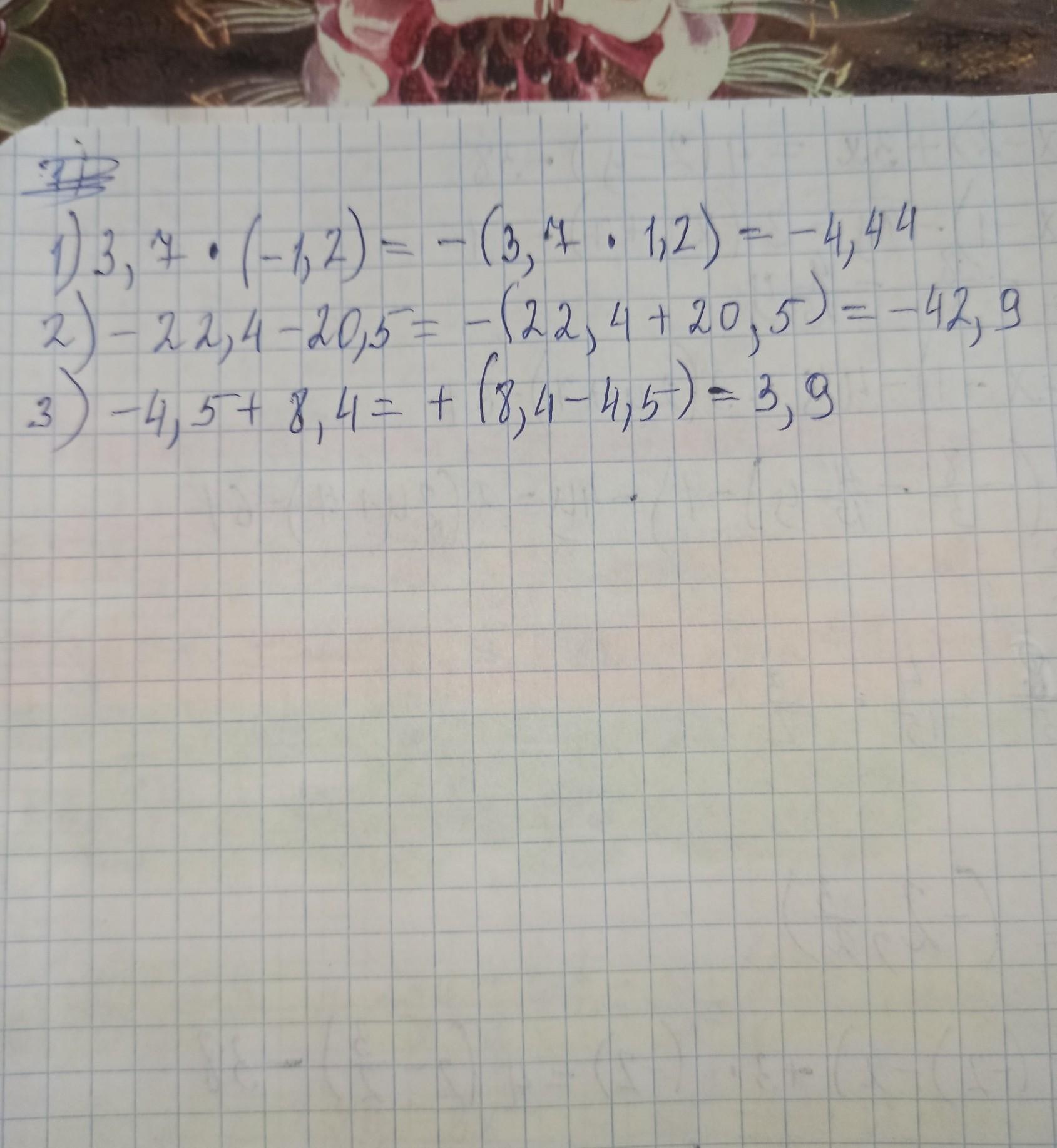
1)3,75*(-1,2)
2)-22,4-20,5
3)-4,5+8,4
забыла как решается решите пожалуйста​

Ответы

Ответ дал: katya170309
1

Ответ:

надеюсь тут все понятно

Приложения:

Аноним: спасибо большое а то первый ответ ради баллов написал
katya170309: модно пж лучший ответ
Guruliov: я крут
Вас заинтересует