Ответы
Ответ дал:
1
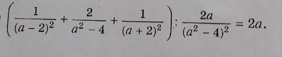
Если что a^2-4=(a-2)(a+2)
Приложения:

Ответ дал:
1
Ответ: На фото
Объяснение:
https://znanija.com/task/45183164
Приложения:

kiryakochetovkirik:
спасибо
Вас заинтересует
2 года назад
2 года назад
3 года назад
3 года назад
8 лет назад
9 лет назад