• Предмет: Алгебра
  • Автор: altynajhasenova22
  • Вопрос задан 8 лет назад

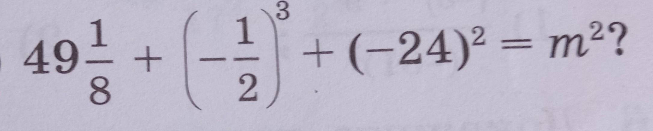
9.5. При каком значении переменной т верно равенство: 4) 494 + +(+24)2 = m??
помогите пожалуйста​

Приложения:

Ответы

Ответ дал: moldirgmailru
2

Ответ:

Извлечем корень из обеих сторон и решим.

m=25,−25

Объяснение:

должно быть правильно

Вас заинтересует