• Предмет: Алгебра
  • Автор: Аноним
  • Вопрос задан 8 лет назад

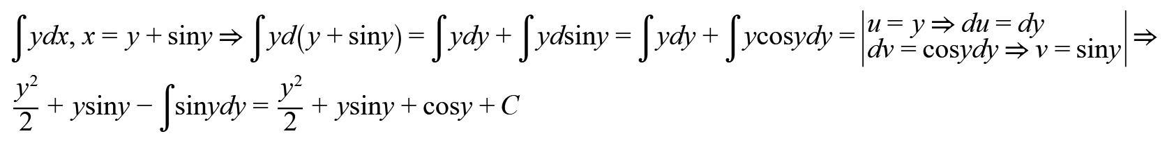
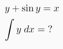
Найдите неопределённый интеграл функции заданной неявно

Приложения:

Ответы

Ответ дал: palilov243659
0

Ответ:

Объяснение:

//////////////////////////////////

Приложения:
Вас заинтересует