• Предмет: Математика
  • Автор: dhd99
  • Вопрос задан 8 лет назад

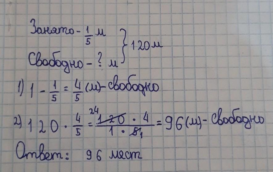
в театре 120 мест.1/5 этих мест уже заняты.Сколько осталось свободных мест?​


dikkr124: 12:5=24 осталось свободных мест
Ответ: 24 мест
Sparrow04: неправильно
Sparrow04: 1/5 это занятые места

Ответы

Ответ дал: Sparrow04
1

Ответ: 96 мест

Пошаговое объяснение: если 1/5 мест занято, то 1 – 1/5 = 4/5 мест свободно. Чтобы найти сколько мест свободно нужно общее кол-во мест умножить на ту часть, которую составляют свободные места.

120 * 4/5 = 96 мест свободно

Ответ дал: NadoPoYrokam
0

Ответ: 96 мест

Объяснение:

1) узнаем сколько мест свободно в дробях

2) переводим дробь в натуральное число

Приложения:
Вас заинтересует