• Предмет: Алгебра
  • Автор: 11polinafilina
  • Вопрос задан 8 лет назад

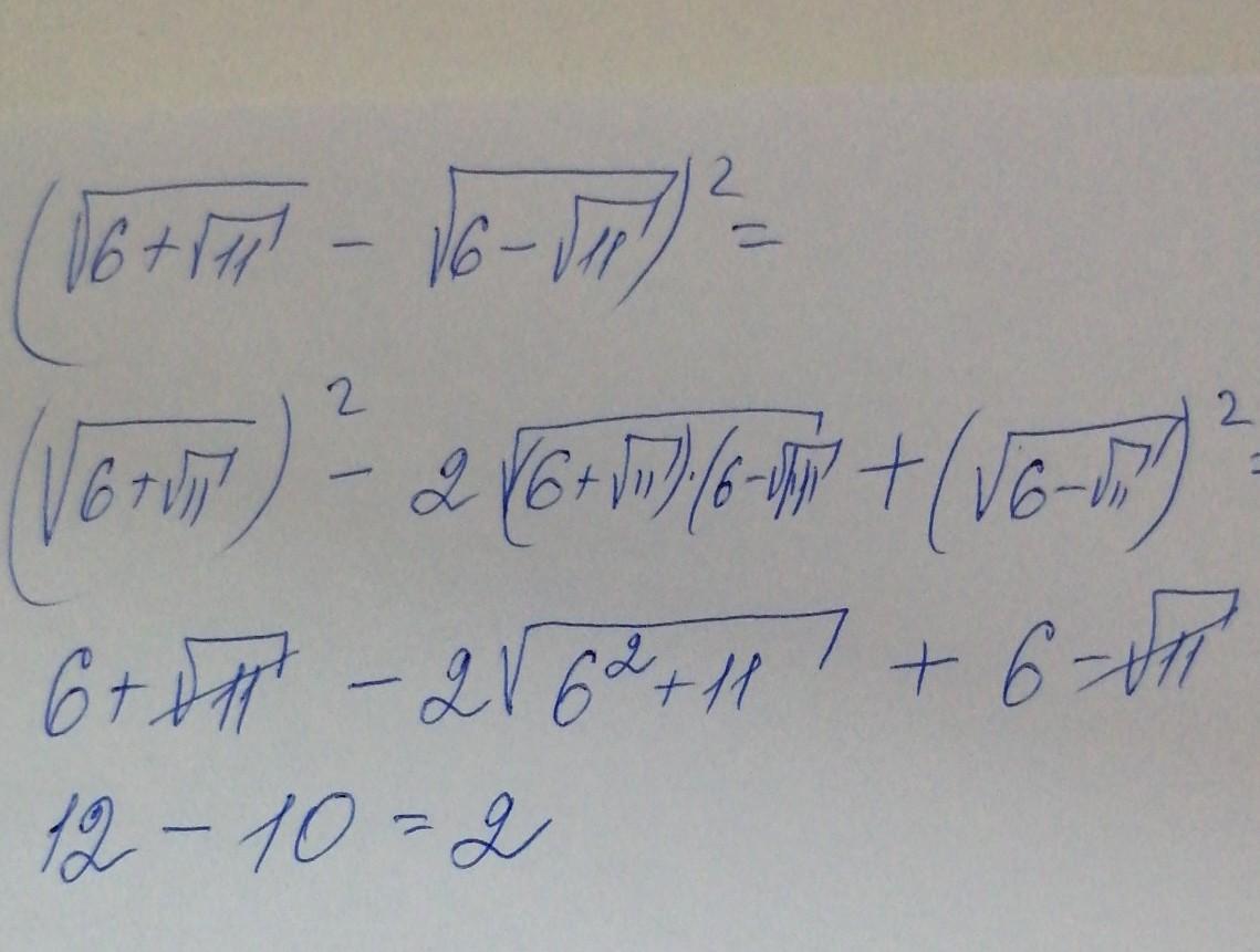
(квадратный корень 6+квадратный корень11 - квадратный корень 6-квадратный корень11)²​

Приложения:

Ответы

Ответ дал: 198401300
1

Объяснение:

Упрощаем по формулам квадратов

Приложения:

11polinafilina: как у тебя получилось 84 если в конце учеьника ответ 2
11polinafilina: учебника*
198401300: сорян, исправил
Вас заинтересует