Номер 6, помогите решить, пожалуйста
Приложения:

Аноним:
ты не знаешь дроби
Ответы
Ответ дал:
1
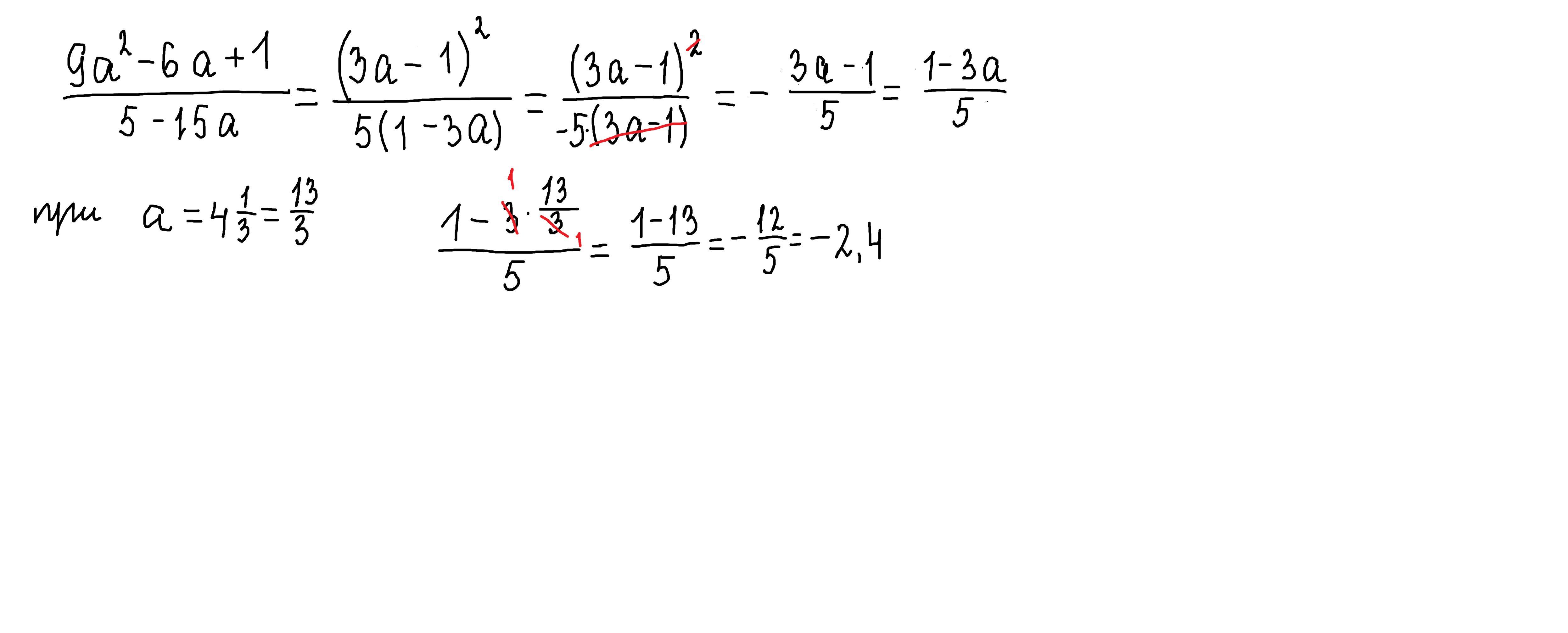
Ответ:
-2,4
Объяснение:
применим к числителю формулу (а-в)²=а²-2ав+в²,сократим дробь и найдем ее значение.
Приложения:

Вас заинтересует
2 года назад
2 года назад
3 года назад
3 года назад
8 лет назад
8 лет назад
9 лет назад