Основание пирамиды - прямоугольный треугольник с острым углом альфа. Расстояние от основания высоты пирамиды до вершины этого угла равно в. Все двугранные углы при основании пирамиды равны бета. Найти объём пирамиды. Помогите найти площадь основания побыстрей пожалуста!!!!!
Ответы
Второй угол треугольника в основании (90 - альфа).
Теперь главное - ясно, что вершина пирамиды проецируется в центр вписаной окружности. Это потому, что основание высоты равноудалено от сторон на расстояния, равные высоте пирамиды, умноженной на ctg(бета). Если аккуратно построить двугранные углы боковых граней, опуская перпендикуляры на стороны основания, то это сразу видно.
Центр вписаной окружности лежит на пересечении биссектрис. Поэтому
r = b*sin(альфа/2);
Боковые стороны тоже легко вычисляются, один катет = r + b*cos(альфа/2);
второй = r+ r*ctg(45 - альфа/2).
Высота пирамиды равна r*tg(бета). Отсюда всё находится.
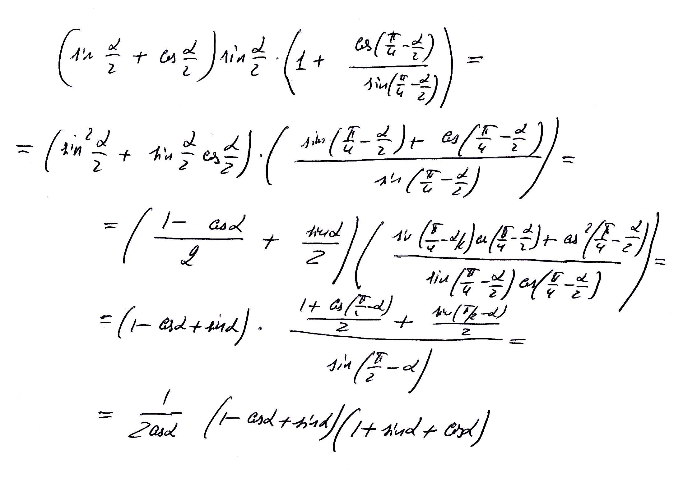
S = (1/2)*(b^2)*(sin(альфа/2) + cos(альфа/2))*sin(альфа/2)*(1+ctg(45 - альфа/2));
Наверно, это выражение можно упростить. Мне удалось до такого выражения:
S = (b^2/2)*(1 + sin(альфа) - cos(альфа))*(1+sin(альфа)+cos(альфа))/(2*cos(альфа))
Надеюсь, я нигде не ошибся. На всякий добавил скан, как я упрощал.
V = (1/3)*S*b*sin(альфа/2)*tg(бета)

