Ответы
Ответ дал:
3
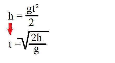
З верхньої формули розрахунку відстані, пройденого тілом за час падіння, висловимо нижню формулу і підставимо значення.
h - шлях = 19,6 м
g - прискорення вільного падіння = 10 м/с^2
корінь з ((2 * 19,6) / 10) = ~2 с
Приложения:

cerpopty:
У меня на профиле ещё вопрос
Вас заинтересует
2 года назад
8 лет назад
9 лет назад