• Предмет: Алгебра
  • Автор: anelia1official
  • Вопрос задан 8 лет назад

помогите пожалуйста!

Приложения:

Ответы

Ответ дал: zhansaya100109
0

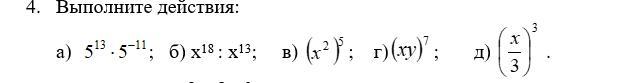
Ответ:

а)25

б)х^5

В)х^10

Д)х^3

27

Вас заинтересует