• Предмет: Алгебра
  • Автор: MaryaLogunova77
  • Вопрос задан 8 лет назад

Решите пожалуйста уравнения))​

Приложения:

MaryaLogunova77: эм, мне кажется вы что-то не то скопировали

Ответы

Ответ дал: bbbapho
2

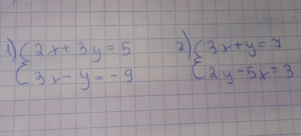
1)

2x + 3y = 5,

3x - y =  - 9;

Эту систему уравнений удобно решить методом подстановки, выразив из второго уравнения Y.

3x - y =  - 9

y = 3x + 9

Подставляем данное значение Y в первое уравнение.

2x + 3(3x + 9) = 5

2x + 9x + 27 = 5

11x =  - 22

x =  - 2

Подставляем это значение X во второе уравнение.

y = 3 \times ( - 2) + 9 =  - 6 + 9 = 3

Ответ: x = -2; y = 3

2)

3x + y = 7,

2y - 5x = 3;

Опять же, методом подстановки. Выражаем Y из первого уравнения.

3x + y = 7

y = 7 - 3x

Подставляем во второе уравнение.

2(7 - 3x) - 5x = 3

14 - 6x - 5x = 3

 - 11x =  - 11

x = 1

Полученное значение X подставляем в первое уравнение.

y = 7 - 3x = 7 - 3 \times 1 = 7 - 3 = 4

Ответ: x = 1; y = 4

Вас заинтересует