• Предмет: Математика
  • Автор: maxkordukov2
  • Вопрос задан 7 лет назад

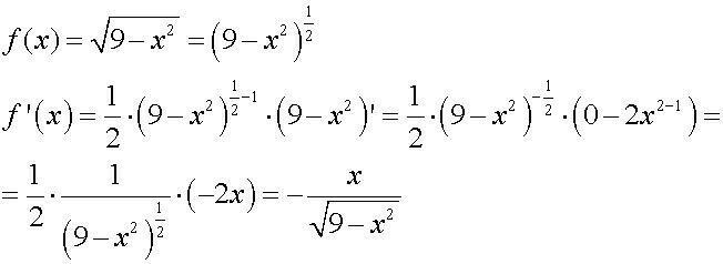
f(x)=√x²-9v. что делать как решать ​

Ответы

Ответ дал: beksultanbeka833
1

Пошаговое объяснение:

правильно на 100% но я не уверен но кажется правильно

Приложения:
Вас заинтересует