• Предмет: Алгебра
  • Автор: Аноним
  • Вопрос задан 8 лет назад

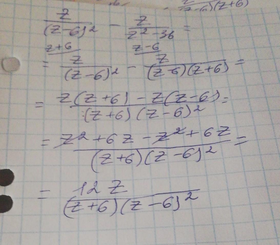
Вычисли разность дробей z(z−6)2−zz2−36. zB. Выбери, чему равен знаменатель B: (z+6)2(z−6) (z+6)(z−6)2 (z−6)2(z2−36) ПОМОГИТЕ ПОЖАЛУЙСТА ПОМОГИТЕ ПОЖАЛУЙСТА ПОМОГИТЕ ПОЖАЛУЙСТА ПОМОГИТЕ ПОЖАЛУЙСТА ПОМОГИТЕ ПОЖАЛУЙСТА ПОМОГИТЕ ПОЖАЛУЙСТА ПОМОГИТЕ ПОЖАЛУЙСТА ПОМОГИТЕ ПОЖАЛУЙСТА ПОМОГИТЕ​

Приложения:

Ответы

Ответ дал: larisaserova53
0

Ответ:

Смотри решение на фото выше

Приложения:
Вас заинтересует