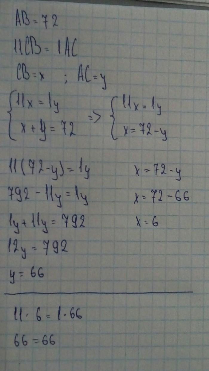
Отрезок AB равен 72 см. На данном отрезке отложена точка C.
Вычисли длины частей отрезка, если 1CB=11AC.
Ответы
Ответ дал:
1
Ответ:
правильный ответ на фото
Объяснение:
Приложения:

Вас заинтересует
2 года назад
2 года назад
3 года назад
8 лет назад
8 лет назад