Ответы
Ответ дал:
1
Ответ:
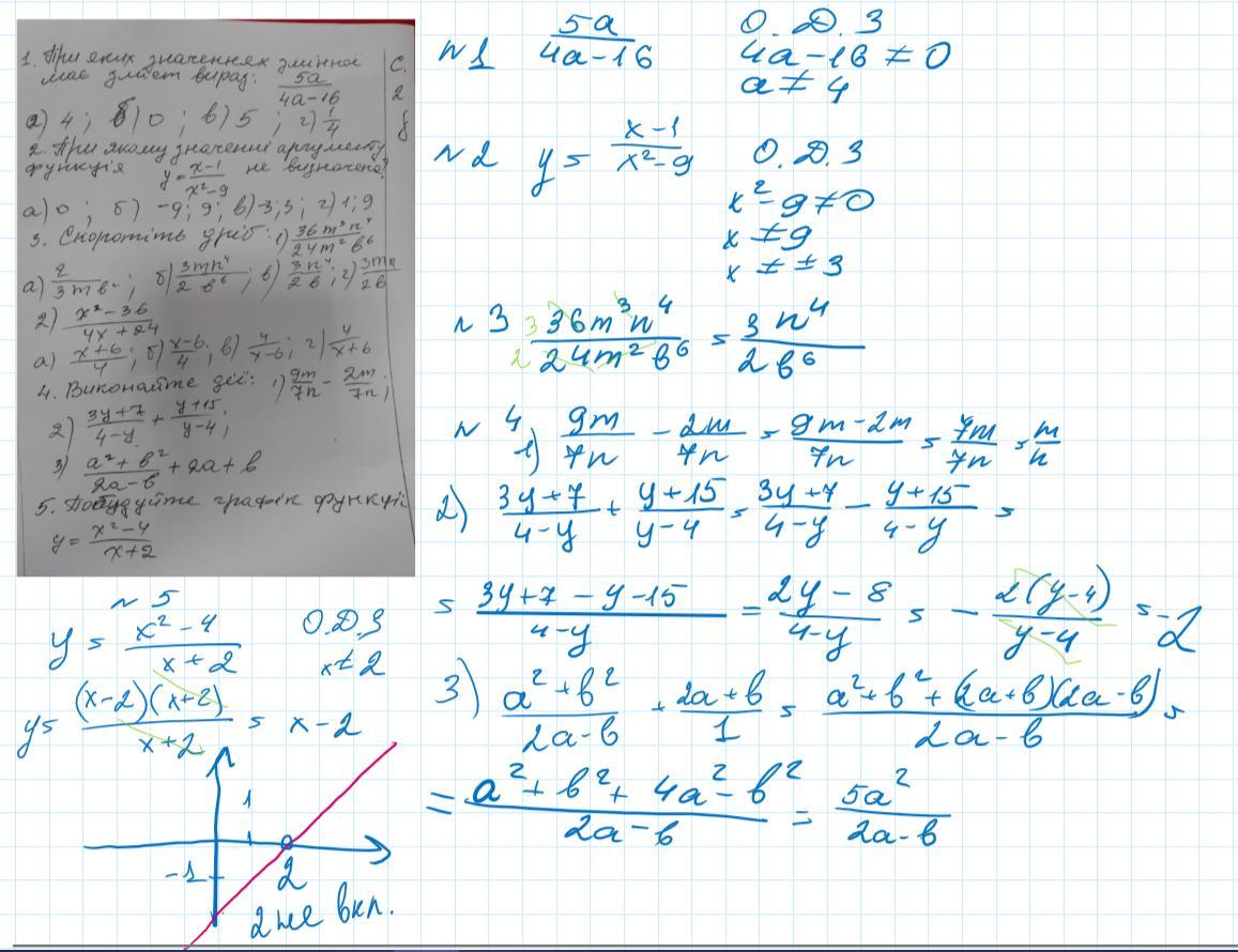
смотри фото
Объяснение:
Приложения:

korykina67:
1 - а, 2 - в, 3 - б
Вас заинтересует
2 года назад
3 года назад
8 лет назад
8 лет назад
9 лет назад