• Предмет: Математика
  • Автор: polinapadalko12
  • Вопрос задан 8 лет назад

как решить столбиком 592:2=
Обьязательно столбиком!!! пожалуйста. срочно​

Ответы

Ответ дал: larisaserova53
0

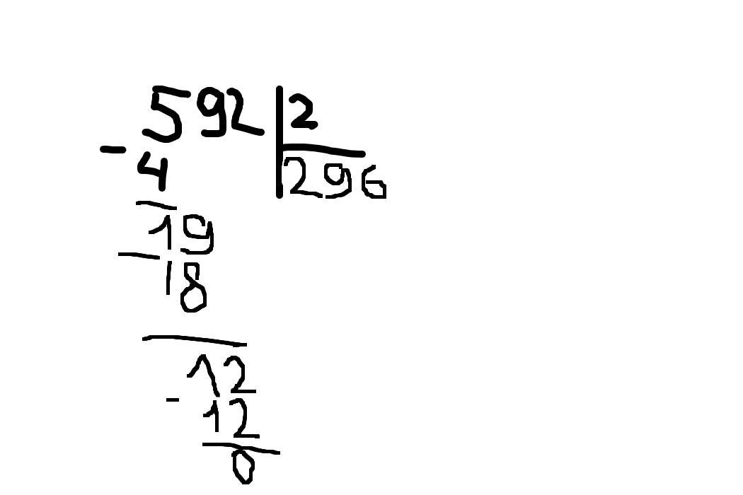
Ответ:

Смотри решение на фото выше

Приложения:
Ответ дал: vaganovapolly
0

Ответ:592

сложно тут написать поэтому только так

Пошаговое объяснение:

592  2

4        296              

-4

19

-18

  12

- 12

0

Приложения:
Вас заинтересует