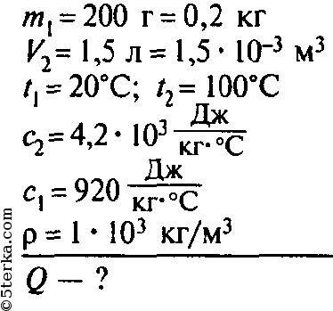
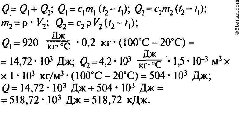
Определи, какое количество теплоты получили алюминиевая кастрюля массой 361 г и находящаяся в ней вода объёмом 1,2 л при нагревании от 21°C до кипения при температуре 100°C. Удельная теплоёмкость алюминия равна 920 Дж/(кг·°C), удельная теплоёмкость воды — 4200 Дж/(кг·°C), плотность воды — 1000 кг/м³.
Ответы
Ответ дал:
2
Ответ:
вот ответ правильный_______
Приложения:


Вас заинтересует
2 года назад
2 года назад
8 лет назад
8 лет назад