• Предмет: Алгебра
  • Автор: NikitaWalper
  • Вопрос задан 8 лет назад

помогите пожалуйста, по алгебре тест за 8 класс​

Приложения:

Ответы

Ответ дал: W0039175
1

Ответ:

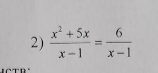
x²+5x\x-1=6\x-1

x²+5x\x-1=6\x-1 ; х не равен 1

x²+5x=6

x²+5x-6=0

Д=-5±√5²-4×(-6)\2=49

x1=-5+7\2=1(не подходит )

x2=-5-7\2=-6

Ответ ; х=-6

Вас заинтересует