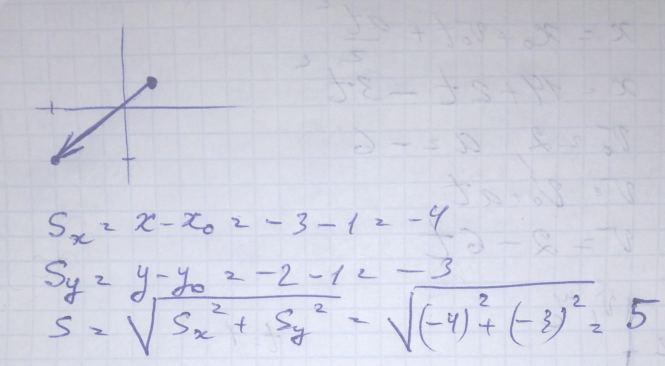
тело переместилось с координатами Х0=1 У0=1 м в точку с координатами x-3 м у-2 м. сделать чертëж найти вектор перемещения и его проекции на оси координат
Аноним:
в точку с координатами x=-3 м у=-2 м ?
Ответы
Ответ дал:
2
Ответ:
решение на фото
Объяснение:
Приложения:

Вас заинтересует
2 года назад
2 года назад
8 лет назад
8 лет назад