Ответы
Ответ дал:
0
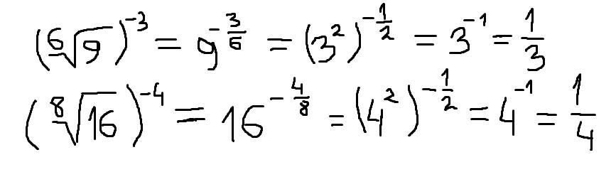
Ответ: ⅓.
Ответ: ¼.
Ответ дал:
0
Ответ:
см скриншот
Пошаговое объяснение:
Приложения:

Вас заинтересует
2 года назад
2 года назад
3 года назад
3 года назад
8 лет назад
9 лет назад