• Предмет: Алгебра
  • Автор: eto50mlradosty
  • Вопрос задан 8 лет назад

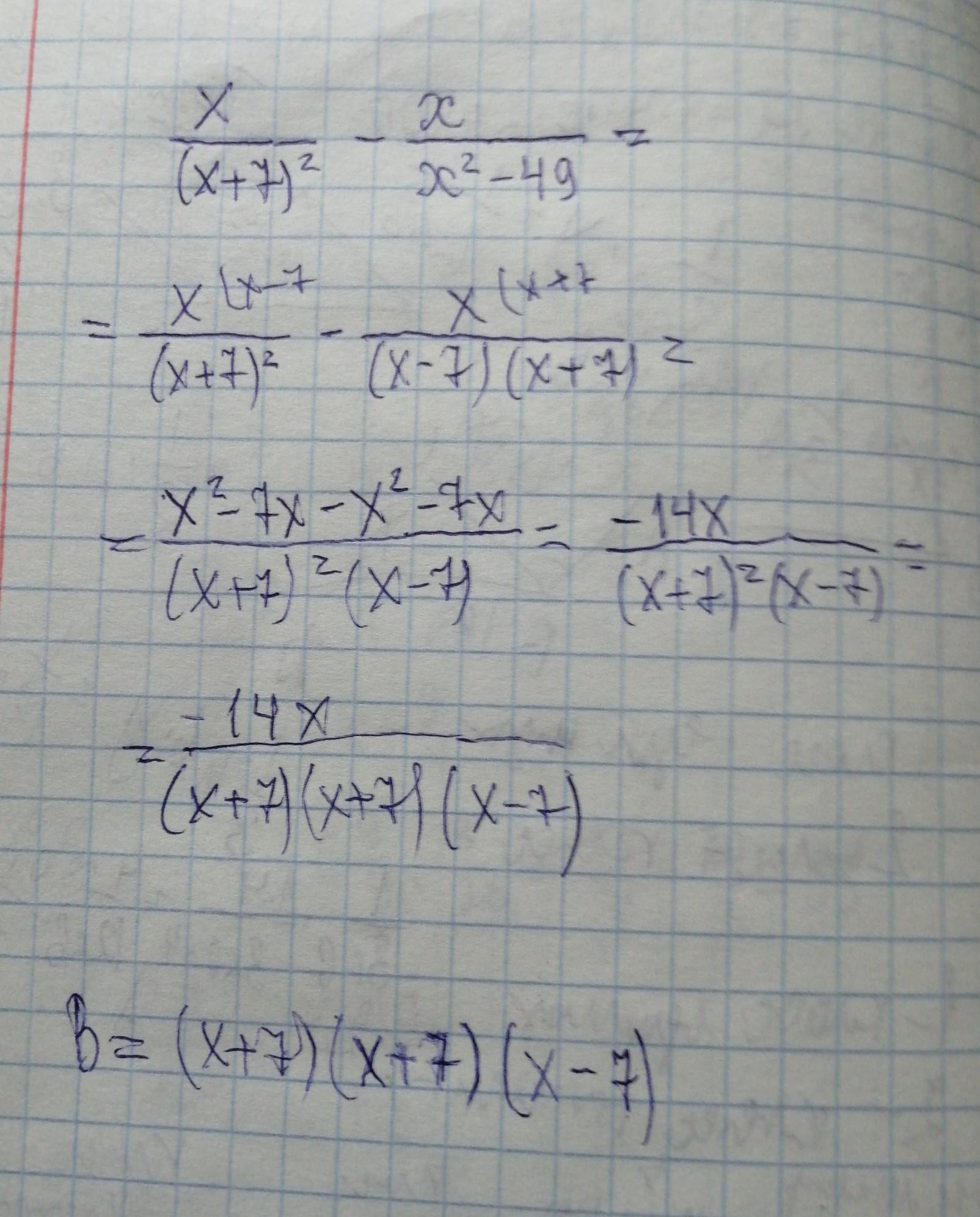
Вычисли разность дробей

Приложения:

Ответы

Ответ дал: вика2112
0

Ответ: (х+7)(х+7)(х-7)

Объяснение:

Приложения:
Ответ дал: ludmilaksenija2005
0

Объяснение:

Решение на фото _______-____

Приложения:
Вас заинтересует