Помогите пожалуйста
Найдите значение выражения:
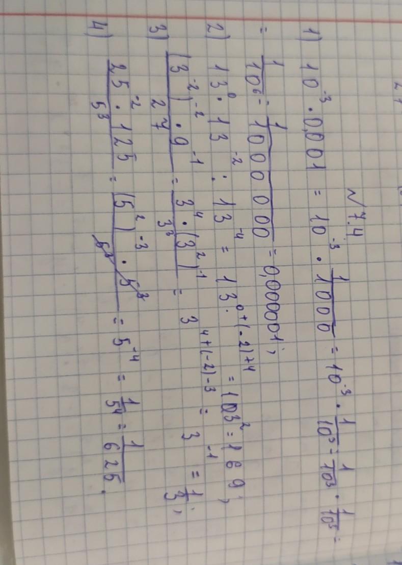
2) 13в 0 степени × (13в - 2 степени) : 13 в - 4 степени
3) (3в - 2 степени) - 2 степени ×9 в - 1 степени ЭТО ВСЁ ДЕЛЕННОЕ НА 27
4) 25 в - 2 степени × 125 ЭТО ВСЁ ДЕЛЕННОЕ НА 5 в 3 степени
Приложения:
Ответы
Ответ дал:
1
Ответ:
вот держи это правильно
Приложения:
Аноним:
Вика можно лучший ответ
Вас заинтересует
2 года назад
2 года назад
3 года назад
3 года назад
9 лет назад
9 лет назад
10 лет назад