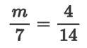
Пользуясь основным свойством дроби, найдите значение m , при котором равенство будет верно.
Приложения:

Ответы
Ответ дал:
1
Ответ:
2
Пошаговое объяснение:
m:7=4:14
m:7=2:7
m=2:7×7
m=14:7
m=2
Не знаю что за способ, но я решила так. Еще можно так:
m:7=4:14
m×14=7×4
14m=28
m=28:14
m=2
anzelinamaliseva:
спосибо
Вас заинтересует
2 года назад
2 года назад
3 года назад
3 года назад
8 лет назад
8 лет назад
9 лет назад