• Предмет: Математика
  • Автор: varyginaelizaveta
  • Вопрос задан 8 лет назад

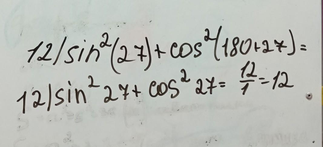
Найдите значение выражения
\frac{12}{sin^{2}27^{0}+cos^{2}207^{0} }

Ответы

Ответ дал: anuarbekarajka
2

Ответ:

вот....

Пошаговое объяснение:

я на доске написала...

Приложения:

varyginaelizaveta: Почему только сумма, а не разность после (180+27)?
Вас заинтересует