• Предмет: Алгебра
  • Автор: sabinanakracovka01
  • Вопрос задан 8 лет назад

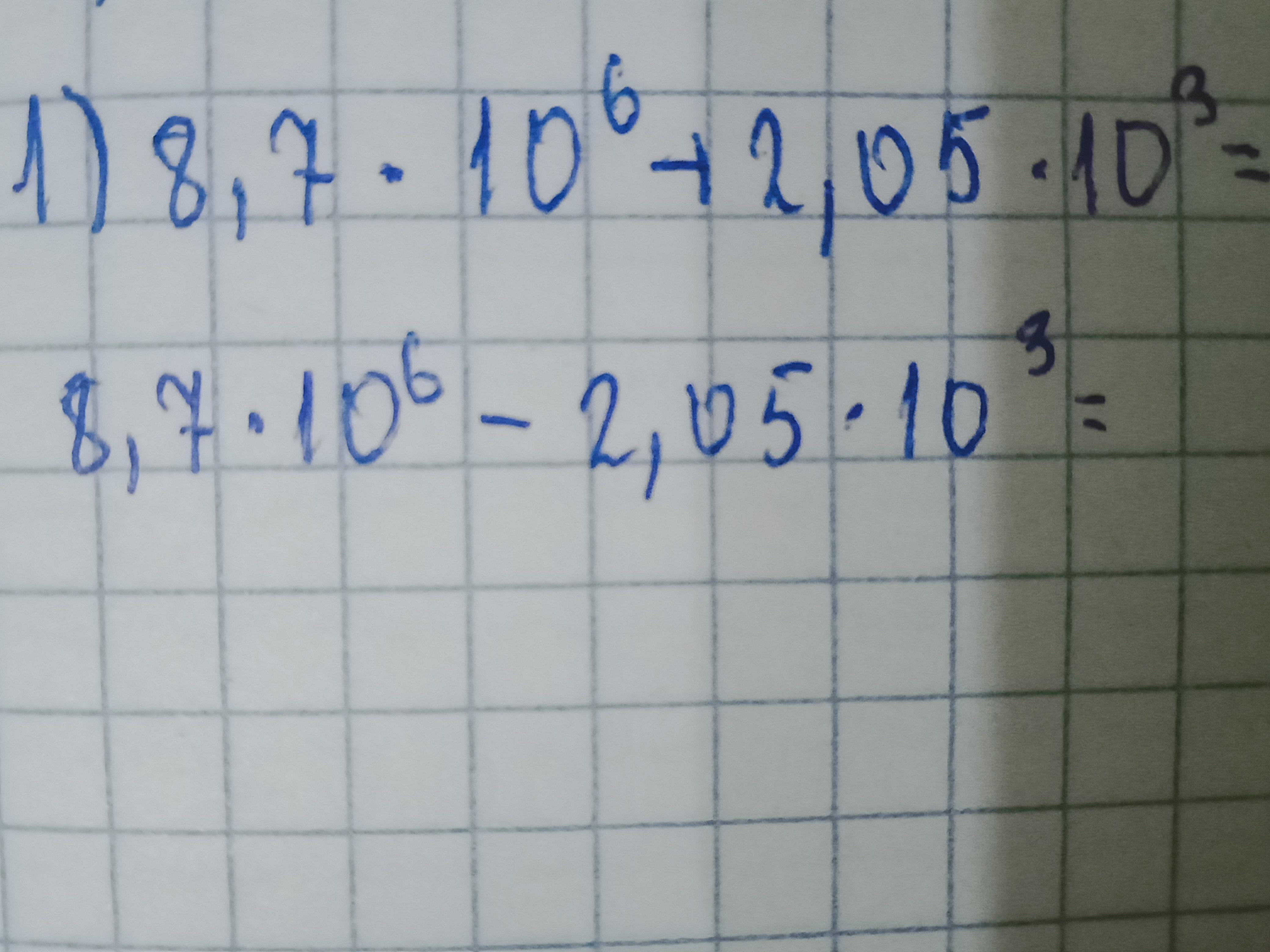
Срочно помогите пожалуйста

Приложения:

Ответы

Ответ дал: thegr8
0

Ответ:

8 702 050

Объяснение:

8,7 * 10⁶ + 2,05 * 10³ = 10³ (8,7 * 10³ + 2,05) = 10³ (8700 + 2,05) = 10³ * 8702,05 = 8 702 050

10³ = 10 * 10 * 10 = 1000


thegr8: Если не сложно, можешь отметить как лучший) Спасибо
Ответ дал: dana0817
0
Вот ответ )))надеюсь помогла если не правильно то не обижайтесь я старалась)
Приложения:

sabinanakracovka01: Спасибо за старание))
Вас заинтересует