• Предмет: Алгебра
  • Автор: bftvvhtrgh
  • Вопрос задан 8 лет назад

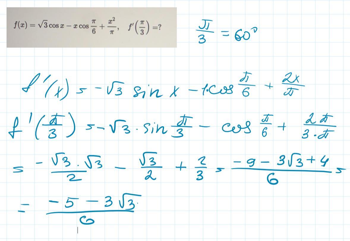
Нахождение производных, очень легко

Приложения:

Ответы

Ответ дал: korykina67
1

Ответ:

фото

Объяснение:

Приложения:
Вас заинтересует