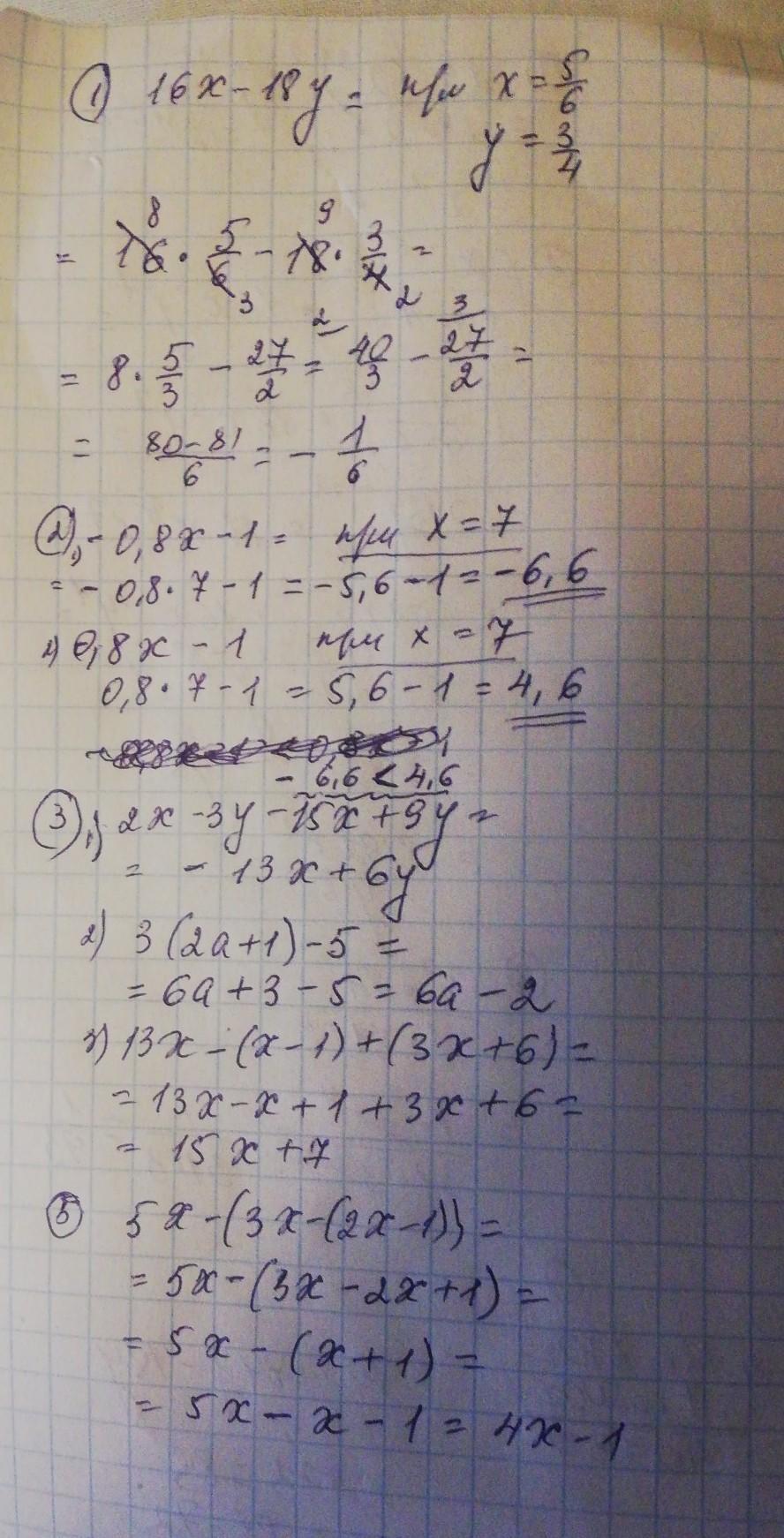
1.Найдите:16х-8у при х=5/6,у=3/4
2.Сравните значение выражений: -0,8х-1 и 0,8х-1 при х=7
3.Упростите выражение:
А)2х-3у-15х+9у
Б)3(2а+1)-5
В)13х-(х-1)+(3х+6)
5.Раскройте скобки :
5х-(3х-(2х-1))
Ответы
Ответ дал:
0
Ответ:
Смотри решение на фото выше
Приложения:

Вас заинтересует
2 года назад
2 года назад
8 лет назад
9 лет назад