• Предмет: Физика
  • Автор: Fopphhou
  • Вопрос задан 8 лет назад

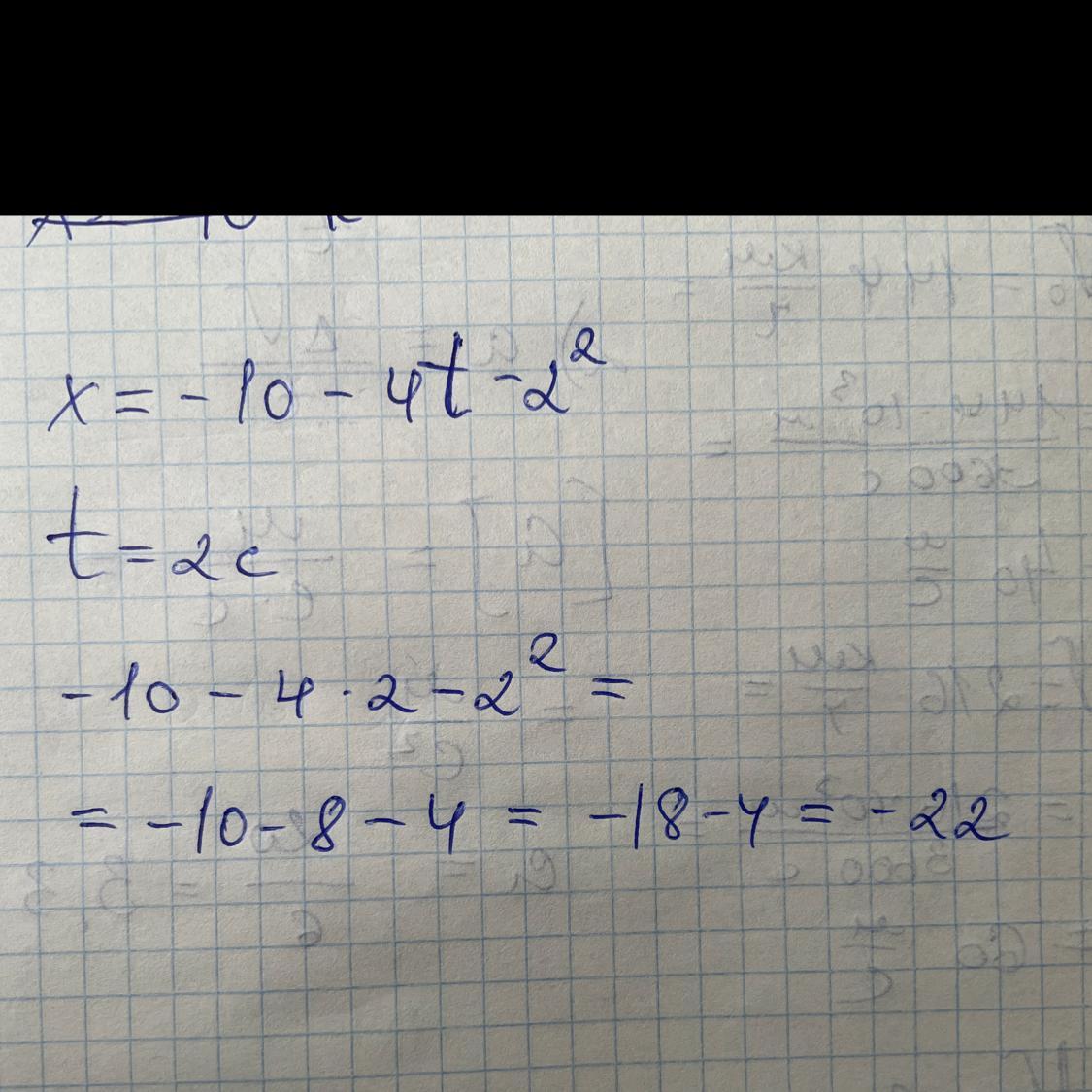
Опишите движений по уравнению: x=-10-4t-2².
Определите его координату в момент t=2 c.

Ответы

Ответ дал: mvyakubovskiy
1
x = -22 (его координата в момент t = 2c)
Приложения:
Вас заинтересует