• Предмет: Алгебра
  • Автор: telemexa
  • Вопрос задан 8 лет назад

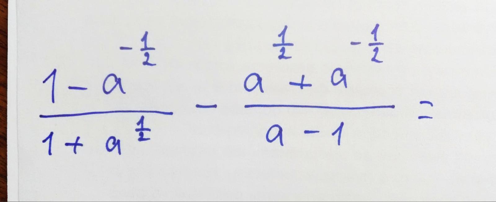
Помогите решить пример. Алгебра 10 класс

Приложения:

Ответы

Ответ дал: Universalka
1

\dfrac{1-a^{-\frac{1}{2} } }{1+a^{\frac{1}{2} } }-\dfrac{a^{\frac{1}{2} }+a^{-\frac{1}{2} }}{a-1} =\dfrac{1-\frac{1}{a^{\frac{1}{2}  }} }{1+a^{\frac{1}{2} } }-\dfrac{a^{\frac{1}{2} }+\frac{1}{a^{\frac{1}{2} } } }{a-1} =\dfrac{a^{\frac{1}{2} }-1 }{a^{\frac{1}{2} }( 1+a^{\frac{1}{2} } )}-\dfrac{a+1}{a^{\frac{1}{2} } (a^{\frac{1}{2} } -1)(a^{\frac{1}{2} }+1)} =

=\dfrac{(a^{\frac{1}{2} }-1)(a^{\frac{1}{2} }-1)-a-1 }{a^{\frac{1}{2} } (a^{\frac{1}{2} }-1)(a^{\frac{1}{2} }+1)} =\dfrac{a-2a^{\frac{1}{2} }+1 -a-1 }{a^{\frac{1}{2} } (a^{\frac{1}{2} }-1)(a^{\frac{1}{2} }+1)} =\dfrac{-2a^{\frac{1}{2} } }{a^{\frac{1}{2} }(a-1) } =\\\\\\=\boxed{\dfrac{2}{1-a}}

Вас заинтересует