• Предмет: Алгебра
  • Автор: sumira440123
  • Вопрос задан 8 лет назад

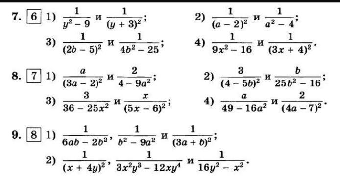
приведите к общему знаменателю
номера 7-9​

Приложения:

Ответы

Ответ дал: jasminaamirhanova
1

решение на листочке...

Приложения:
Вас заинтересует