• Предмет: Алгебра
  • Автор: dsdssddsdsdsd
  • Вопрос задан 8 лет назад

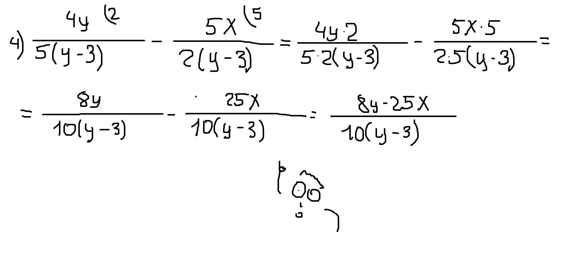
ПОЖАЛУЙСТА МОЖНО ОТВЕТ НА 4 СРОЧНО!!!!!!!! ДАЮ 15 БАЛЛОВ

Приложения:

Ответы

Ответ дал: TutorOnline
2

Ответ: удачи отметь как лучший!!!

Объяснение: на фото. ↓↓↓

Приложения:
Вас заинтересует