• Предмет: Алгебра
  • Автор: Аноним
  • Вопрос задан 8 лет назад

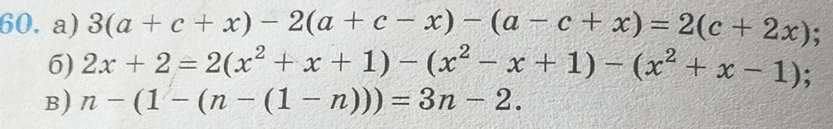
Допоможіть б) доведіть тотожність

Приложения:

Ответы

Ответ дал: nastyaorlova5
0

Ответ:

a. 3a + 3c+ 3x - 2a - 2c + 2x - a + c - x = 2c + 4x\\3a - 2a - a + 3c - 2c + c +3x + 2x - x = 2c + 4x\\2c + 4x = 2c + 4x

b. 2x + 2 = 2x^2 + 2x + 2 - x^2 + x - 1 - x^2 -x + 1\\2x + 2 = 2x^2 - x^2 - x^2 + 2x + x - x + 2 - 1 + 1\\2x + 2 = 2x+ 2

c. n - (1 - (n - (1 - n))) = 3n - 2\\n - (1 - (n - 1 + n)) = 3n  - 2\\n - (1 - n + 1 - n) = 3n - 2\\n - 1 + n - 1 + n = 3n - 2\\3n - 2 = 3n - 2

Вас заинтересует