• Предмет: Алгебра
  • Автор: vovahud
  • Вопрос задан 8 лет назад

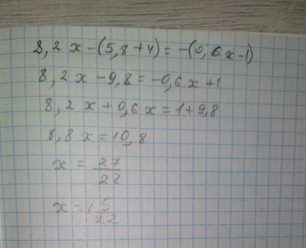
помогите решить 8,2х-(5,8+4) =-(0,6х-1)

Ответы

Ответ дал: khusanovarobia19
0

Объяснение:

отметь пожалуйста лучший ответ и лайкни

Приложения:

khusanovarobia19: отметь пожалуйста лучший ответ и лайкни
Вас заинтересует