• Предмет: Алгебра
  • Автор: zorosenkopetr
  • Вопрос задан 8 лет назад

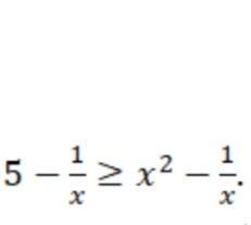
Решите неравенство и укажите сколько целых решений неравенства.

Приложения:

Ответы

Ответ дал: Аноним
0

Ответ: Два   целых решения

Объяснение:

5-1/х≥х²-1/х    ;х≠0

х²≤5

х≤ ±√5

х∈[  -2;0)∪(0;2]  одно решение

х∈  [ -1;0)∪(0; 1]  второе решение


tamarabernukho: Нуль надо исключить из решения
Аноним: верно
tamarabernukho: Ну и количество укажите..целых решений
tamarabernukho: Четыре целых решения :-2;-1;1;2
zorosenkopetr: целых решений 2 или 4?
Аноним: четыре
Вас заинтересует