• Предмет: Алгебра
  • Автор: Armin5555
  • Вопрос задан 8 лет назад

Пожалуйста, помогите!
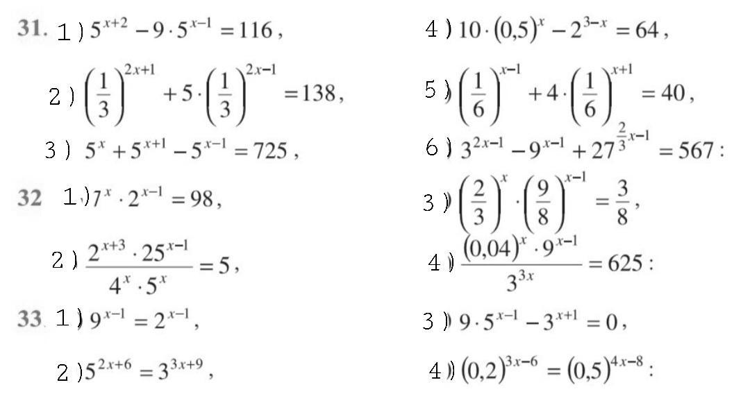
Решить уравнения

Приложения:

Ответы

Ответ дал: zanatasel6
1

Ответ:

надеюсь помогла......

Приложения:

Armin5555: Большое спасибо!!!
Вас заинтересует